Zum Hauptinhalt springen

Publikation zur saisonalen Speicherung thermischer Energie im geologischen Untergrund 13.02.2026

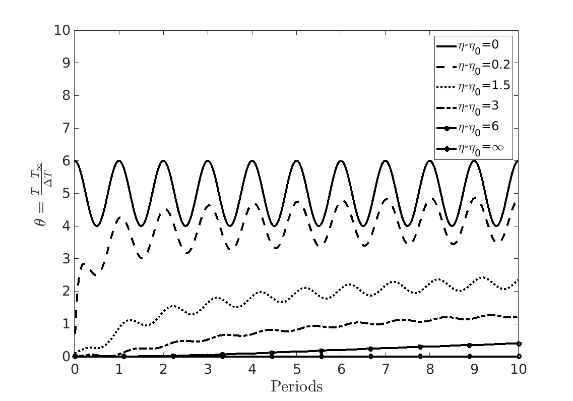
In der aktuellen Veröffentlichung „Analytical Solutions for Transient Heat Conduction Problems in Axis-Symmetric Domains“ (Shahab Stein, Gunther Brenner) wird eine geschlossene analytische Lösung für die transiente radiale Wärmeleitung in einem zylindrischen Gebiet mit periodischer Wandtemperatur hergeleitet.

Hintergrund ist die saisonale Speicherung und Entnahme von thermischer Energie im geologischen Untergrund. Die Untersuchung dieses für die Energie- und Wärmewende wichtigen Aspekts war ein zentraler Bestandteil des BMBF geförderten Projekts GeoTES, welches am Drilling Simulator Celle und weiteren Instituten der TU Clausthal, Uni Göttingen und Ostfalia Hochschule bearbeitet wurde. Geologische Modelle berücksichtigen die thermischen Effekte in und um die Bohrungen einschließlich der Komplettierung nur unzureichend. Der vorliegende analytische Ansatz ermöglicht es, genaue vorhersagen des Wärmetransports und der Speicherung effizient vorzunehmen. 

Die Arbeit liefert zudem kompakte, physikalisch transparente Referenzlösung für andere zyklisch thermisch belastete thermische Systeme. Die Publikation ist im Journal of Heat Transfer erschienen und über die ASME Digital Collection abrufbar: https://doi.org/10.1115/1.4071032

Zurück